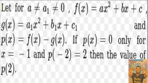
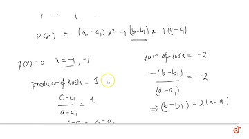
Let for a ≠ a₁ ≠ 0, f(x) = ax2 + bx + c, g(x) = a1x2 + b1x + c1 and p(x) = f(x) - g(x). If p(x) = 0

Tonton & Download Video Musik Gratis

⬇ DOWNLOAD NOW
Kalau muncul iklan pop-up, tutup lalu klik tombol kembali

Download lagu Let for a ≠ a₁ ≠ 0, f(x) = ax2 + bx + c, g(x) = a1x2 + b1x + c1 and p(x) = f(x) - g(x). If p(x) = 0 secara gratis hanya untuk keperluan promosi. Dukung artis favorit kamu dengan membeli musik original di iTunes atau platform resmi lainnya.