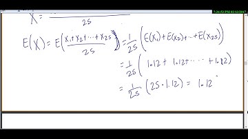
Stat 3000: Review Exam 1 Problem 2.9.14 variance, expected value, pmf, discrete random variables

Tonton & Download Video Musik Gratis

⬇ DOWNLOAD NOW
Kalau muncul iklan pop-up, tutup lalu klik tombol kembali

Download lagu Stat 3000: Review Exam 1 Problem 2.9.14 variance, expected value, pmf, discrete random variables secara gratis hanya untuk keperluan promosi. Dukung artis favorit kamu dengan membeli musik original di iTunes atau platform resmi lainnya.