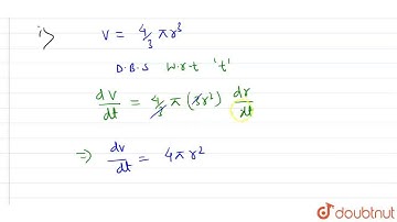
The radius of a sphere is increasing at the rate of 0.2 cm/sec. The rate at which the volume of the

Tonton & Download Video Musik Gratis

⬇ DOWNLOAD NOW
Kalau muncul iklan pop-up, tutup lalu klik tombol kembali

Download lagu The radius of a sphere is increasing at the rate of 0.2 cm/sec. The rate at which the volume of the secara gratis hanya untuk keperluan promosi. Dukung artis favorit kamu dengan membeli musik original di iTunes atau platform resmi lainnya.