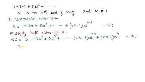
If α≠ 1 is any nth root of unity, then S=1+3 α+5 α^2+… upto n terms is equal to (a) 2 n/1-α (b) -...

Tonton & Download Video Musik Gratis

⬇ DOWNLOAD NOW
Kalau muncul iklan pop-up, tutup lalu klik tombol kembali

Download lagu If α≠ 1 is any nth root of unity, then S=1+3 α+5 α^2+… upto n terms is equal to (a) 2 n/1-α (b) -... secara gratis hanya untuk keperluan promosi. Dukung artis favorit kamu dengan membeli musik original di iTunes atau platform resmi lainnya.