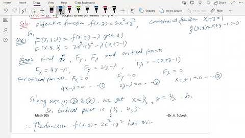
Lagrange Multipliers: Relative Extrema of f=xy Under Constraint y=9-x^2

Tonton & Download Video Musik Gratis

⬇ DOWNLOAD NOW
Kalau muncul iklan pop-up, tutup lalu klik tombol kembali

Download lagu Lagrange Multipliers: Relative Extrema of f=xy Under Constraint y=9-x^2 secara gratis hanya untuk keperluan promosi. Dukung artis favorit kamu dengan membeli musik original di iTunes atau platform resmi lainnya.