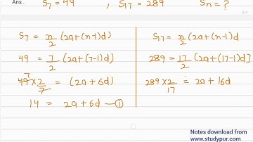
Q41 | If the sum of first 7 terms of an AP is 49 and that of first 17 terms is 289, find Sn

Tonton & Download Video Musik Gratis

⬇ DOWNLOAD NOW
Kalau muncul iklan pop-up, tutup lalu klik tombol kembali

Download lagu Q41 | If the sum of first 7 terms of an AP is 49 and that of first 17 terms is 289, find Sn secara gratis hanya untuk keperluan promosi. Dukung artis favorit kamu dengan membeli musik original di iTunes atau platform resmi lainnya.