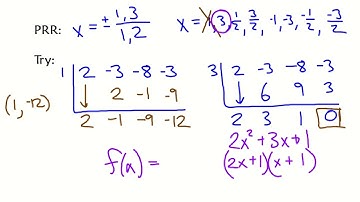
Section 4.5 Day 1 - Algebra 2 - Solving Polynomials and finding roots of Polynomial functions

Tonton & Download Video Musik Gratis

⬇ DOWNLOAD NOW
Kalau muncul iklan pop-up, tutup lalu klik tombol kembali

Download lagu Section 4.5 Day 1 - Algebra 2 - Solving Polynomials and finding roots of Polynomial functions secara gratis hanya untuk keperluan promosi. Dukung artis favorit kamu dengan membeli musik original di iTunes atau platform resmi lainnya.