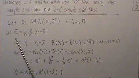
Math 14 HW 6.3.8 Is the sample standard deviation an unbiased estimator of the pop. stand. dev?

Tonton & Download Video Musik Gratis

⬇ DOWNLOAD NOW
Kalau muncul iklan pop-up, tutup lalu klik tombol kembali

Download lagu Math 14 HW 6.3.8 Is the sample standard deviation an unbiased estimator of the pop. stand. dev? secara gratis hanya untuk keperluan promosi. Dukung artis favorit kamu dengan membeli musik original di iTunes atau platform resmi lainnya.