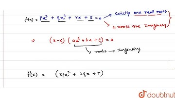
If the equations \( p x^{2}+q x+r=0 \) and \( r x^{2}+q x+p=0 \) \( (p \neq r \neq 0) \) have a ...

Tonton & Download Video Musik Gratis

⬇ DOWNLOAD NOW
Kalau muncul iklan pop-up, tutup lalu klik tombol kembali

Download lagu If the equations \( p x^{2}+q x+r=0 \) and \( r x^{2}+q x+p=0 \) \( (p \neq r \neq 0) \) have a ... secara gratis hanya untuk keperluan promosi. Dukung artis favorit kamu dengan membeli musik original di iTunes atau platform resmi lainnya.