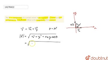
The `x-` component of a certain vector in `x-y` plane is 2 units and `y

Tonton & Download Video Musik Gratis

⬇ DOWNLOAD NOW
Kalau muncul iklan pop-up, tutup lalu klik tombol kembali

Download lagu The `x-` component of a certain vector in `x-y` plane is 2 units and `y secara gratis hanya untuk keperluan promosi. Dukung artis favorit kamu dengan membeli musik original di iTunes atau platform resmi lainnya.