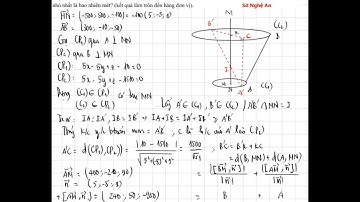
Sở Nghệ An: Trong không gian Oxyz (đơn vị các trục tọa độ là mét), một cơ sở quân sự đặt radar

Tonton & Download Video Musik Gratis

⬇ DOWNLOAD NOW
Kalau muncul iklan pop-up, tutup lalu klik tombol kembali

Download lagu Sở Nghệ An: Trong không gian Oxyz (đơn vị các trục tọa độ là mét), một cơ sở quân sự đặt radar secara gratis hanya untuk keperluan promosi. Dukung artis favorit kamu dengan membeli musik original di iTunes atau platform resmi lainnya.