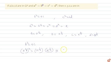
If `a^(x) = b^(y) = c^(z)` and a, b, c, are in G.P., prove that x, y, z are in H.P.

Tonton & Download Video Musik Gratis

⬇ DOWNLOAD NOW
Kalau muncul iklan pop-up, tutup lalu klik tombol kembali

Download lagu If `a^(x) = b^(y) = c^(z)` and a, b, c, are in G.P., prove that x, y, z are in H.P. secara gratis hanya untuk keperluan promosi. Dukung artis favorit kamu dengan membeli musik original di iTunes atau platform resmi lainnya.