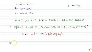
With usual notations, in triangle \( A B C, a \cos (B-C) \) \( +b \...

Tonton & Download Video Musik Gratis

⬇ DOWNLOAD NOW
Kalau muncul iklan pop-up, tutup lalu klik tombol kembali

Download lagu With usual notations, in triangle \( A B C, a \cos (B-C) \) \( +b \... secara gratis hanya untuk keperluan promosi. Dukung artis favorit kamu dengan membeli musik original di iTunes atau platform resmi lainnya.