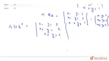
If `A(x_1, y_1),B(x_2, y_2) ` and `C(x_3,y_3)` are vertices of an equilateral triangle whose ea...

Tonton & Download Video Musik Gratis

⬇ DOWNLOAD NOW
Kalau muncul iklan pop-up, tutup lalu klik tombol kembali

Download lagu If `A(x_1, y_1),B(x_2, y_2) ` and `C(x_3,y_3)` are vertices of an equilateral triangle whose ea... secara gratis hanya untuk keperluan promosi. Dukung artis favorit kamu dengan membeli musik original di iTunes atau platform resmi lainnya.