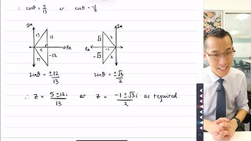
Complex Roots (4 of 5: Using Polynomial Identities to prove unity identities)

Tonton & Download Video Musik Gratis

⬇ DOWNLOAD NOW
Kalau muncul iklan pop-up, tutup lalu klik tombol kembali

Download lagu Complex Roots (4 of 5: Using Polynomial Identities to prove unity identities) secara gratis hanya untuk keperluan promosi. Dukung artis favorit kamu dengan membeli musik original di iTunes atau platform resmi lainnya.