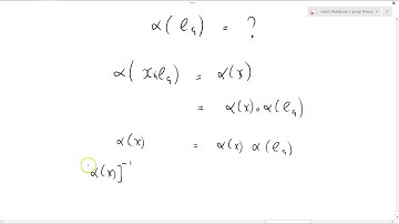
Group Theory 16b: Old homomorphism of identiy element

Tonton & Download Video Musik Gratis

⮇ DOWNLOAD NOW
Kalau muncul iklan pop-up, tutup lalu klik tombol kembali

Download lagu Group Theory 16b: Old homomorphism of identiy element secara gratis hanya untuk keperluan promosi. Dukung artis favorit kamu dengan membeli musik original di iTunes atau platform resmi lainnya.