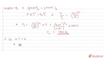
, , Two bodies A and B have thermal emissivities of 0.01 and 0.81 respectively. The outer surface...

Tonton & Download Video Musik Gratis

⬇ DOWNLOAD NOW
Kalau muncul iklan pop-up, tutup lalu klik tombol kembali

Download lagu , , Two bodies A and B have thermal emissivities of 0.01 and 0.81 respectively. The outer surface... secara gratis hanya untuk keperluan promosi. Dukung artis favorit kamu dengan membeli musik original di iTunes atau platform resmi lainnya.