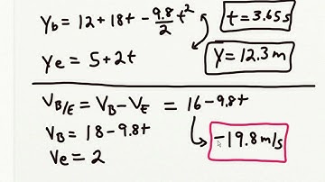
A ball is thrown vertically upwards with an initial velocity of `5 m//sec` from

Tonton & Download Video Musik Gratis

⬇ DOWNLOAD NOW
Kalau muncul iklan pop-up, tutup lalu klik tombol kembali

Download lagu A ball is thrown vertically upwards with an initial velocity of `5 m//sec` from secara gratis hanya untuk keperluan promosi. Dukung artis favorit kamu dengan membeli musik original di iTunes atau platform resmi lainnya.