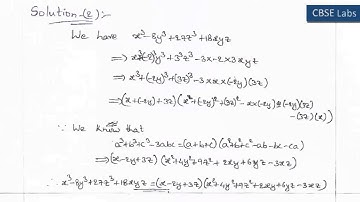
Class 9th || Chapter 5 || Ex.5.4 Q.No.2 (R.D.SHARMA)

Tonton & Download Video Musik Gratis

⬇ DOWNLOAD NOW
Kalau muncul iklan pop-up, tutup lalu klik tombol kembali

Download lagu Class 9th || Chapter 5 || Ex.5.4 Q.No.2 (R.D.SHARMA) secara gratis hanya untuk keperluan promosi. Dukung artis favorit kamu dengan membeli musik original di iTunes atau platform resmi lainnya.