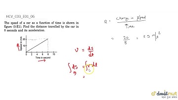
The velocity of a car as a function of time is shown in Fig. Find the distance travelled by the ...

Tonton & Download Video Musik Gratis

⬇ DOWNLOAD NOW
Kalau muncul iklan pop-up, tutup lalu klik tombol kembali

Download lagu The velocity of a car as a function of time is shown in Fig. Find the distance travelled by the ... secara gratis hanya untuk keperluan promosi. Dukung artis favorit kamu dengan membeli musik original di iTunes atau platform resmi lainnya.