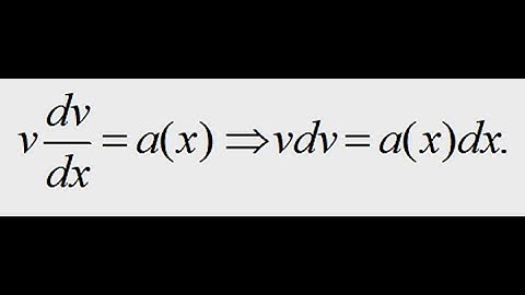
MECHANICS:Rectilinear Motion Topic:Motion with Variable Acceleration distance dependent acceleration

Tonton & Download Video Musik Gratis

⬇ DOWNLOAD NOW
Kalau muncul iklan pop-up, tutup lalu klik tombol kembali

Download lagu MECHANICS:Rectilinear Motion Topic:Motion with Variable Acceleration distance dependent acceleration secara gratis hanya untuk keperluan promosi. Dukung artis favorit kamu dengan membeli musik original di iTunes atau platform resmi lainnya.