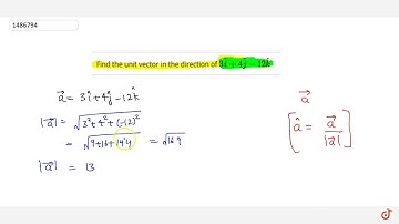
JEE MAINS 2018 Find a unit vector in the direction of the resultant of the vectors ` hat i- h...

Tonton & Download Video Musik Gratis

⬇ DOWNLOAD NOW
Kalau muncul iklan pop-up, tutup lalu klik tombol kembali

Download lagu JEE MAINS 2018 Find a unit vector in the direction of the resultant of the vectors ` hat i- h... secara gratis hanya untuk keperluan promosi. Dukung artis favorit kamu dengan membeli musik original di iTunes atau platform resmi lainnya.