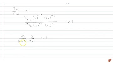
Find numerically greatest term in the expansion of :(i) (2+3 x)^9 when x=3/2 (ii) (3-5 x)^15 when...

Tonton & Download Video Musik Gratis

⬇ DOWNLOAD NOW
Kalau muncul iklan pop-up, tutup lalu klik tombol kembali

Download lagu Find numerically greatest term in the expansion of :(i) (2+3 x)^9 when x=3/2 (ii) (3-5 x)^15 when... secara gratis hanya untuk keperluan promosi. Dukung artis favorit kamu dengan membeli musik original di iTunes atau platform resmi lainnya.