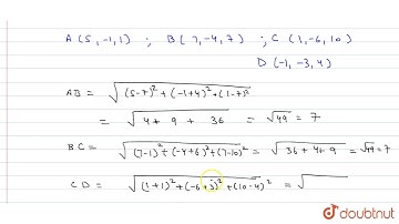
Show that the points: (5,-1,1) ;(7,-4,7) ;(1,-6,10) ;(-1,-3,4) are the vertices of a rhombus.

Tonton & Download Video Musik Gratis

⬇ DOWNLOAD NOW
Kalau muncul iklan pop-up, tutup lalu klik tombol kembali

Download lagu Show that the points: (5,-1,1) ;(7,-4,7) ;(1,-6,10) ;(-1,-3,4) are the vertices of a rhombus. secara gratis hanya untuk keperluan promosi. Dukung artis favorit kamu dengan membeli musik original di iTunes atau platform resmi lainnya.