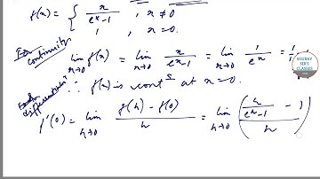
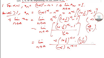
B,Stat Past Year Questions 2016 | Important Questions Fully Solved & Analysed With new Formula

Tonton & Download Video Musik Gratis

⬇ DOWNLOAD NOW
Kalau muncul iklan pop-up, tutup lalu klik tombol kembali

Download lagu B,Stat Past Year Questions 2016 | Important Questions Fully Solved & Analysed With new Formula secara gratis hanya untuk keperluan promosi. Dukung artis favorit kamu dengan membeli musik original di iTunes atau platform resmi lainnya.