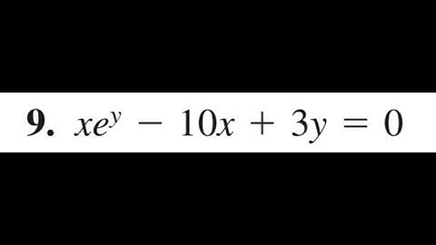
Implicit Differentiation xe^y - 10x + 3y = 0 ❖ Calculus 1

Tonton & Download Video Musik Gratis

⬇ DOWNLOAD NOW
Kalau muncul iklan pop-up, tutup lalu klik tombol kembali

Download lagu Implicit Differentiation xe^y - 10x + 3y = 0 ❖ Calculus 1 secara gratis hanya untuk keperluan promosi. Dukung artis favorit kamu dengan membeli musik original di iTunes atau platform resmi lainnya.