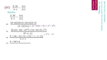
Exercise 1.6 Class 9 Mathematics Question 2 || simplify in form of a+ib || Sindh textbook board

Tonton & Download Video Musik Gratis

⬇ DOWNLOAD NOW
Kalau muncul iklan pop-up, tutup lalu klik tombol kembali

Download lagu Exercise 1.6 Class 9 Mathematics Question 2 || simplify in form of a+ib || Sindh textbook board secara gratis hanya untuk keperluan promosi. Dukung artis favorit kamu dengan membeli musik original di iTunes atau platform resmi lainnya.