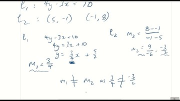
Pearson-Edexcel GCSE to A-level Transition Algebra Exam Questions Q2

Tonton & Download Video Musik Gratis

⬇ DOWNLOAD NOW
Kalau muncul iklan pop-up, tutup lalu klik tombol kembali

Download lagu Pearson-Edexcel GCSE to A-level Transition Algebra Exam Questions Q2 secara gratis hanya untuk keperluan promosi. Dukung artis favorit kamu dengan membeli musik original di iTunes atau platform resmi lainnya.