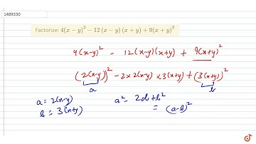
Factorize: ltmath gt ltmrow gt ltmfrac gt ltmrow gt ltmn gt64 lt/mn gt lt/mrow gt ltmrow

Tonton & Download Video Musik Gratis

⬇ DOWNLOAD NOW
Kalau muncul iklan pop-up, tutup lalu klik tombol kembali

Download lagu Factorize: ltmath gt ltmrow gt ltmfrac gt ltmrow gt ltmn gt64 lt/mn gt lt/mrow gt ltmrow secara gratis hanya untuk keperluan promosi. Dukung artis favorit kamu dengan membeli musik original di iTunes atau platform resmi lainnya.