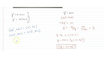
Locus of Point of intersection of two normal of parabola which are at right angle to one other

Tonton & Download Video Musik Gratis

⬇ DOWNLOAD NOW
Kalau muncul iklan pop-up, tutup lalu klik tombol kembali

Download lagu Locus of Point of intersection of two normal of parabola which are at right angle to one other secara gratis hanya untuk keperluan promosi. Dukung artis favorit kamu dengan membeli musik original di iTunes atau platform resmi lainnya.