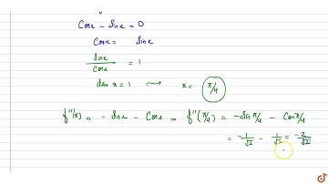
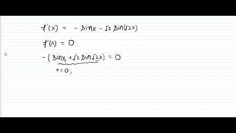
The number of values of x where the function f(x)=cos x +cos (sqrt(2)x) attains its maximum valu...

Tonton & Download Video Musik Gratis

⬇ DOWNLOAD NOW
Kalau muncul iklan pop-up, tutup lalu klik tombol kembali

Download lagu The number of values of x where the function f(x)=cos x +cos (sqrt(2)x) attains its maximum valu... secara gratis hanya untuk keperluan promosi. Dukung artis favorit kamu dengan membeli musik original di iTunes atau platform resmi lainnya.