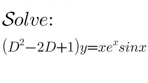
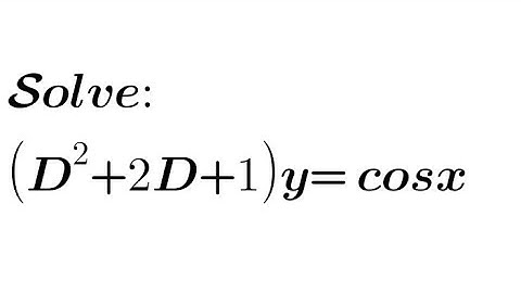
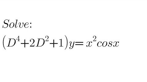
Solve: (D²+2D+1)y= xcosx | Linear Differential Equation with Constant Coefficient| C.F. and P.I.

Tonton & Download Video Musik Gratis

⬇ DOWNLOAD NOW
Kalau muncul iklan pop-up, tutup lalu klik tombol kembali

Download lagu Solve: (D²+2D+1)y= xcosx | Linear Differential Equation with Constant Coefficient| C.F. and P.I. secara gratis hanya untuk keperluan promosi. Dukung artis favorit kamu dengan membeli musik original di iTunes atau platform resmi lainnya.