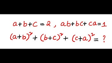
An Algebra Problem | a+b+c = 2 , ab+bc+ca = 1 , (a+b)^2 + (b+c)^2 + (c+a)^2 = ?

Tonton & Download Video Musik Gratis

⬇ DOWNLOAD NOW
Kalau muncul iklan pop-up, tutup lalu klik tombol kembali

Download lagu An Algebra Problem | a+b+c = 2 , ab+bc+ca = 1 , (a+b)^2 + (b+c)^2 + (c+a)^2 = ? secara gratis hanya untuk keperluan promosi. Dukung artis favorit kamu dengan membeli musik original di iTunes atau platform resmi lainnya.