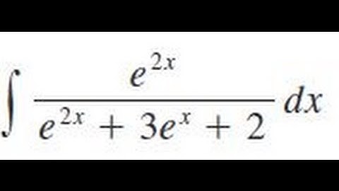
Evaluate the Integral (e^(2x))/(e^(2x) + 3e^x +2) dx using u substitution

Tonton & Download Video Musik Gratis

⬇ DOWNLOAD NOW
Kalau muncul iklan pop-up, tutup lalu klik tombol kembali

Download lagu Evaluate the Integral (e^(2x))/(e^(2x) + 3e^x +2) dx using u substitution secara gratis hanya untuk keperluan promosi. Dukung artis favorit kamu dengan membeli musik original di iTunes atau platform resmi lainnya.