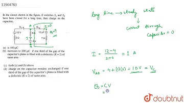
In the circuit shown in figure-3.348 when the switch is closed, the initial current through the 1...

Tonton & Download Video Musik Gratis

⬇ DOWNLOAD NOW
Kalau muncul iklan pop-up, tutup lalu klik tombol kembali

Download lagu In the circuit shown in figure-3.348 when the switch is closed, the initial current through the 1... secara gratis hanya untuk keperluan promosi. Dukung artis favorit kamu dengan membeli musik original di iTunes atau platform resmi lainnya.