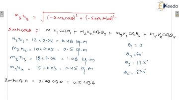
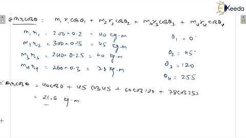
Numericals 1: Static Balancing of Rotating Masses | Balancing | GATE Theory of Machines & Vibrations

Tonton & Download Video Musik Gratis

⬇ DOWNLOAD NOW
Kalau muncul iklan pop-up, tutup lalu klik tombol kembali

Download lagu Numericals 1: Static Balancing of Rotating Masses | Balancing | GATE Theory of Machines & Vibrations secara gratis hanya untuk keperluan promosi. Dukung artis favorit kamu dengan membeli musik original di iTunes atau platform resmi lainnya.