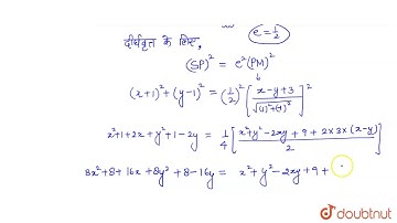
एक दीर्घवृत्त कि उत्केन्द्रता (1)/(2) और एक नाभि बिन्दु P((1)/(2),1) है | इसकी एक नियता वृत्त x^...

Tonton & Download Video Musik Gratis

⬇ DOWNLOAD NOW
Kalau muncul iklan pop-up, tutup lalu klik tombol kembali

Download lagu एक दीर्घवृत्त कि उत्केन्द्रता (1)/(2) और एक नाभि बिन्दु P((1)/(2),1) है | इसकी एक नियता वृत्त x^... secara gratis hanya untuk keperluan promosi. Dukung artis favorit kamu dengan membeli musik original di iTunes atau platform resmi lainnya.