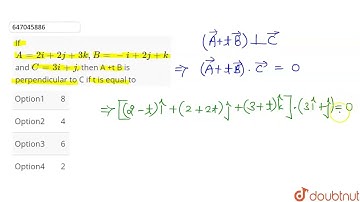
if vectors a=2i+2j+3k,b=-i+2j+k and c=3i+j are such that (b+λc) is perpendicular to a, then find λ

Tonton & Download Video Musik Gratis

⬇ DOWNLOAD NOW
Kalau muncul iklan pop-up, tutup lalu klik tombol kembali

Download lagu if vectors a=2i+2j+3k,b=-i+2j+k and c=3i+j are such that (b+λc) is perpendicular to a, then find λ secara gratis hanya untuk keperluan promosi. Dukung artis favorit kamu dengan membeli musik original di iTunes atau platform resmi lainnya.