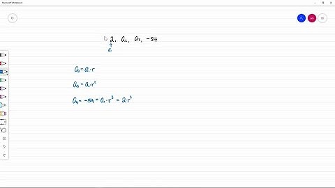
For geometric sequence where log_2 a_2 =2, log_4 a_3 = 3, find value of a_5/a_7.

Tonton & Download Video Musik Gratis

⬇ DOWNLOAD NOW
Kalau muncul iklan pop-up, tutup lalu klik tombol kembali

Download lagu For geometric sequence where log_2 a_2 =2, log_4 a_3 = 3, find value of a_5/a_7. secara gratis hanya untuk keperluan promosi. Dukung artis favorit kamu dengan membeli musik original di iTunes atau platform resmi lainnya.