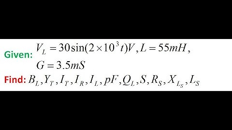
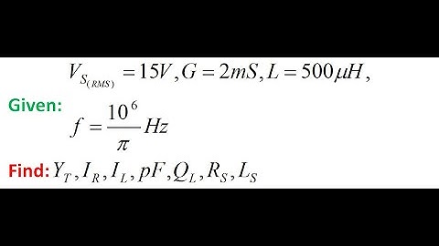
RL Parallel Circuits Demystified ⚡ | AC Concepts Made Simple 04

Tonton & Download Video Musik Gratis

⬇ DOWNLOAD NOW
Kalau muncul iklan pop-up, tutup lalu klik tombol kembali

Download lagu RL Parallel Circuits Demystified ⚡ | AC Concepts Made Simple 04 secara gratis hanya untuk keperluan promosi. Dukung artis favorit kamu dengan membeli musik original di iTunes atau platform resmi lainnya.