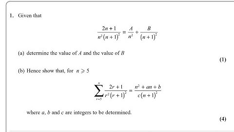
IAL FP2 May/ June 2023 (Q1) Question Paper solution Edexcel WFM02/01 (Further Pure Mathematics 2 F2)

Tonton & Download Video Musik Gratis

⬇ DOWNLOAD NOW
Kalau muncul iklan pop-up, tutup lalu klik tombol kembali

Download lagu IAL FP2 May/ June 2023 (Q1) Question Paper solution Edexcel WFM02/01 (Further Pure Mathematics 2 F2) secara gratis hanya untuk keperluan promosi. Dukung artis favorit kamu dengan membeli musik original di iTunes atau platform resmi lainnya.