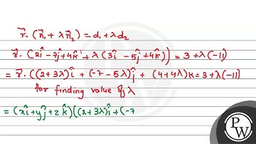
If \( \vec{r} \cdot \vec{a}=0, \vec{r} \cdot \vec{b}=0 \), and \( \...

Tonton & Download Video Musik Gratis

⬇ DOWNLOAD NOW
Kalau muncul iklan pop-up, tutup lalu klik tombol kembali

Download lagu If \( \vec{r} \cdot \vec{a}=0, \vec{r} \cdot \vec{b}=0 \), and \( \... secara gratis hanya untuk keperluan promosi. Dukung artis favorit kamu dengan membeli musik original di iTunes atau platform resmi lainnya.