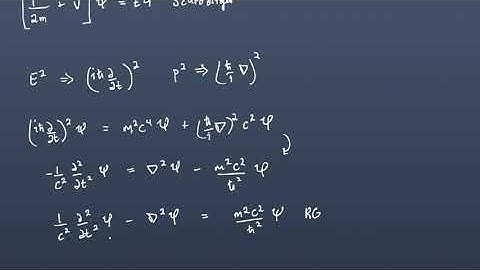
Quantum Field Theory Lecture 1: Klein-Gordon Equation for a Single Particle

Tonton & Download Video Musik Gratis

⬇ DOWNLOAD NOW
Kalau muncul iklan pop-up, tutup lalu klik tombol kembali

Download lagu Quantum Field Theory Lecture 1: Klein-Gordon Equation for a Single Particle secara gratis hanya untuk keperluan promosi. Dukung artis favorit kamu dengan membeli musik original di iTunes atau platform resmi lainnya.