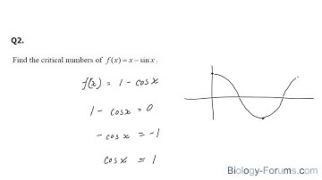
Consider the following function_ f(x) = x2 _ 4x (a) Find the critical numbers of f. (Enter your ans…

Tonton & Download Video Musik Gratis

⬇ DOWNLOAD NOW
Kalau muncul iklan pop-up, tutup lalu klik tombol kembali

Download lagu Consider the following function_ f(x) = x2 _ 4x (a) Find the critical numbers of f. (Enter your ans… secara gratis hanya untuk keperluan promosi. Dukung artis favorit kamu dengan membeli musik original di iTunes atau platform resmi lainnya.