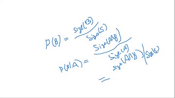
Lecture 13: Conditional Probability/ continuation of lecture 12/PTSP/ 2ECE/JNTU

Tonton & Download Video Musik Gratis

⬇ DOWNLOAD NOW
Kalau muncul iklan pop-up, tutup lalu klik tombol kembali

Download lagu Lecture 13: Conditional Probability/ continuation of lecture 12/PTSP/ 2ECE/JNTU secara gratis hanya untuk keperluan promosi. Dukung artis favorit kamu dengan membeli musik original di iTunes atau platform resmi lainnya.