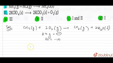
Predict whether the entropy change is positive or negative for each of the following reactions. Giv…

Tonton & Download Video Musik Gratis

⬇ DOWNLOAD NOW
Kalau muncul iklan pop-up, tutup lalu klik tombol kembali

Download lagu Predict whether the entropy change is positive or negative for each of the following reactions. Giv… secara gratis hanya untuk keperluan promosi. Dukung artis favorit kamu dengan membeli musik original di iTunes atau platform resmi lainnya.