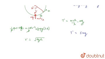
There is a ball of mass m and it is connected with a string of length L and it is hanging with a

Tonton & Download Video Musik Gratis

⬇ DOWNLOAD NOW
Kalau muncul iklan pop-up, tutup lalu klik tombol kembali

Download lagu There is a ball of mass m and it is connected with a string of length L and it is hanging with a secara gratis hanya untuk keperluan promosi. Dukung artis favorit kamu dengan membeli musik original di iTunes atau platform resmi lainnya.