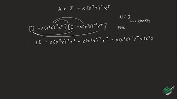
Let A and b are two square idempotent matrices such that `ABpm BA` is a null matrix, the value of

Tonton & Download Video Musik Gratis

⬇ DOWNLOAD NOW
Kalau muncul iklan pop-up, tutup lalu klik tombol kembali

Download lagu Let A and b are two square idempotent matrices such that `ABpm BA` is a null matrix, the value of secara gratis hanya untuk keperluan promosi. Dukung artis favorit kamu dengan membeli musik original di iTunes atau platform resmi lainnya.