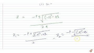
Let z1​ and z2​ be roots of the equation z^2 +pz+q=0, where p and q may be complex numbers #iitjee

Tonton & Download Video Musik Gratis

⬇ DOWNLOAD NOW
Kalau muncul iklan pop-up, tutup lalu klik tombol kembali

Download lagu Let z1​ and z2​ be roots of the equation z^2 +pz+q=0, where p and q may be complex numbers #iitjee secara gratis hanya untuk keperluan promosi. Dukung artis favorit kamu dengan membeli musik original di iTunes atau platform resmi lainnya.