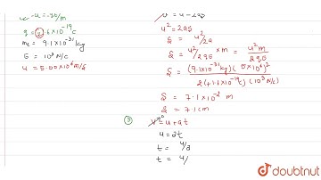
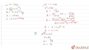
An electron is released with a velocity of `5xx10^(6)ms^(-1)` in an electric field of `10^(3)

Tonton & Download Video Musik Gratis

⬇ DOWNLOAD NOW
Kalau muncul iklan pop-up, tutup lalu klik tombol kembali

Download lagu An electron is released with a velocity of `5xx10^(6)ms^(-1)` in an electric field of `10^(3) secara gratis hanya untuk keperluan promosi. Dukung artis favorit kamu dengan membeli musik original di iTunes atau platform resmi lainnya.